Is The "Anti-Vaccine Narrative" Dead?
Looking at Eurostats' Excess Deaths in 26 EU Countries & Fertility up to 2023... not so much
US Mortality released, a year ago, a page1 presenting excess-death figures across various parameters. The page was recently made semi-viral by X user “The Real Truther,” who added the subtitle “The anti-vaccine narrative is officially dead,” claiming that excess deaths had completely disappeared in 2023 when compared with the 2017 – 2019 average (click the picture if you wish to open the tweet and review the data).
First, note that the figures in this table have several problems; for example, the –32 % change reported for Serbia is impossible. That’s a rather troubling detail.
Second, we should note that the so-called “anti-vaccine narrative” — insofar as it means rejecting the dictatorial excesses of health officials and politicians who couldn’t recognize a good idea if it poked them in the eye — is thriving, as shown by the disastrous uptake of COVID-19 vaccines2.
Third, the COVID crisis has drawn countless newcomers into the “anti-vaccine” camp - people who, like me, previously had no connection to it. Until the pandemic, that movement was largely limited to individuals with intimate knowledge of the risks posed by pharmaceutical products. Serious investigation of the many frauds that have plagued scientific research over the past century has therefore only just begun, but it has already gained significant momentum.
Next, several problems with the underlying premise deserve closer examination:
There is no single “anti-vaccine narrative.” Alarmists who predicted that every vaccinated person would die within five years have already been proven wrong - just as those who claimed COVID-19 would become an airborne Armageddon ending civilization within five years were mistaken.
By contrast, critics (my colleagues and I among them) who argued that the early vaccine batches were inconsistently manufactured, unsafe3, ineffective4, and fraudulently authorized5 - posing short-term dangers owing to variable endotoxin levels as well as poorly studied long-term risks - have so far been vindicated by every emerging data6 and real-world independent testing of the vaccines7 8.
Even if these figures regarding mortality are accurate - an outcome any “anti-vaccine” activist would welcome because it would mean mortality has returned to pre-pandemic levels - the worry over collapsing birth-rates since the vaccine roll-out is stronger than ever.
ASMR versus linear trend and pre-pandemic mean
To examine this excess-mortality picture, we turn to Eurostat and extract death9 and population10 data by age group for countries that are reasonably populous and whose datasets are not irretrievably corrupted11 (at least within Eurostat).
We then run analytics identical to those used by Mortality.watch: the same 2015--2019 linear-trend baseline and the same age-standardised mortality-rate (ASMR) normalisation (US 2000 Standard). The resulting heat map (R) shows each country’s percentage deviation from trend after the data-integrity refinements described in note 11.
Although the 2023 picture is less bleak than that of 2022 - only three countries, rather than fourteen, record excess mortality above 10 % - we still cannot hail this as a triumphant vindication of public-health policy. Country by country, the chart looks as follows.
Many values differ markedly from those shown by Mortality.watch when the same linear-trend settings are applied, and the gap widens over time (for example, France shows 1 % excess on MW versus 4.5 % in our calculation for 2023 - apparently due mostly to sources discrepancies & the fact that EuroStats wasn’t included - as appeared in the comments).
Remember, a linear trend simply tells us how today’s mortality compares with the pre-pandemic trajectory. On this metric “The Real Truther” is correct: relative to the 2017 – 2019 average, most countries now show negative excess - mortality has returned to pre-COVID levels (R).
After three years in which many frail individuals died, that outcome is not surprising; epidemiologists call it the “harvesting effect”. Even so, fewer deaths are always welcome.
The plot below illustrates the pattern. Denmark performed remarkably well, remaining below its pre-COVID average throughout the period.
One limitation of age-standardised mortality rates (ASMR) - a convenient shortcut that aggregates across age groups - is the bias it introduces in countries with high immigration. In Europe, most immigrant cohorts (war-refugee exceptions aside) are markedly healthier than the native population12, so ASMR can understate true excess mortality.
To examine trends in cohorts less affected by immigration, we apply two separate standardizations, both using US-2000 weights, normalized for each sub-interval:


As noted above, many frail individuals appear to have been “harvested” during the previous years of exceptionally high mortality, and 2023 saw very low vaccine uptake.
Even so, several worrisome spikes in excess mortality occur among the young. Similar surges did appear in earlier years, but they still will merit deeper investigation.
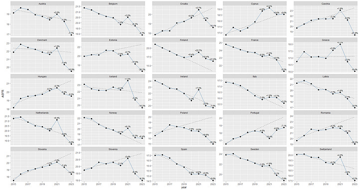
ASFR versus linear trend & pre-pandemic mean
We now turn to a different concern - collapsing birth-rates. Using Eurostat we extract two datasets:
From these we compute age-standardised fertility rates (ASFR). The last broad review we conducted covered 202215; updating the panorama with 2023 data is therefore timely.
Germany is omitted because its 2023 series is incomplete; Urf Lorré discusses German figures on his Substack16.
The 2023 results are starkly negative when compared with the 2017–2019 average (R).
The data can also be shown as line charts.
When we compare the results with the 2015 – 2019 linear trend (R), the picture is equally bleak: the only countries that appear to be “doing well” are those that cannot fall much farther below their trend rates without closing schools.


Because - so far as I know - no study has convincingly demonstrated that mRNA vaccines are safe in pregnancy (please post any such evidence we haven’t already debunked in the comments), I urge readers once again to explore Dr Ah Kahn Syed’s many articles on the fertility concerns which we should all share.
Begin with this break-down of miscarriages rates which will explain you why Sasha Latypova’s Due Diligence and Art is a Pfizer-sponsored17 caricature18, poisoning the well constantly.
Edit 2025-06-03 13:50 (Paris): Added Romania, rightfully reported by Dobssi as missing while the data was present19.
Failures to Act - The Real Peter Marks
The darkest aspect of corrupt clinical trials and the defective products that follow is the toll of injured people they leave behind.
How the Israeli data used to sell COVID vaccine efficacy exposed its own lies
Now that we have pretty much demolished the authenticity of the Pfizer trial and that only the most clueless propagandists still dare to use it to defend the argument of vaccine effectiveness, the argument has - predictably - shifted to “real world data”.
Are excluded: Albania, Andorra, Armenia, Azerbaijan, Belarus, Bosnia and Herzegovina, Bulgaria, Metropolitan France, Ukraine, Germany including former GDR, Georgia, Kosovo*, Liechtenstein, Lithuania, Luxembourg, Malta, Moldova, Monaco, Montenegro, North Macedonia, Russia, San Marino, Serbia, Türkiye, United Kingdom.
2024 isn’t included as numerous countries are missing details on 0-4 mortality for this year.

















Excellent, my friend. I've added this article to the OpenVAET page I created on the White Rose Wiki: https://www.whiteroseintelligence.com/openvaet/
Thanks for your article, please let me state some comments:
1) The ranking page has been up for over a year now, hence it's not new.
2) The ranking page, allows many different methodological model choices. I don't know which models are the best, but I tried to provide the user with the most flexible.
3) Your choice of a 2015-2019 baseline may be statistically limited for robust linear regression analysis. Additionally, since all baseline selections and their resulting predictions carry inherent uncertainty, I would recommend displaying prediction intervals alongside the forecasts to better communicate this uncertainty to users.
4) The underlying model calculations utilize the R package fabletools, which should minimize the likelihood of statistical errors in the computations.
5) We have different underlying data sources, while you are using Eurostat, Mortality.Watch uses Mortality.org for this specific chart - which may explain the discrepancy. I will double check why the algorithm chose STMF over Eurostat.